$\pi$的无理性¶
众所周知,$\pi$是无理数。那么到底为什么呢?如何证明?
Wikipedia:证明$\pi$是无理数
18世纪60年代,约翰·海因里希·朗伯首先证明出圆周率为无理数,即不能表示成两个整数之比。
在19世纪,夏尔·埃尔米特给出了不需要微积分以外的预备知识的证明方法,此后又有玛丽·卡特赖特、伊万·尼云以及尼古拉·布尔巴基等人给出更为简洁的证明。
另外由拉茨科维奇·米克洛什的证明方法简化了朗伯的证明方法。
这些所给出证明方法都基于反证法。
1882年,费迪南德·冯·林德曼进一步给出圆周率不仅为无理数,而且为超越数的证明。
看来这个问题还是比较困难,十八世纪微积分发展较为成熟了之后才有证明出现。
最早的证明¶
最早在1761年,约翰·海因里希·朗伯(Lambert)使用$\tan x$的连分数表示证明了$\pi$是无理数。
这个法子太难了,需要额外的连分数知识。
最短的证明¶
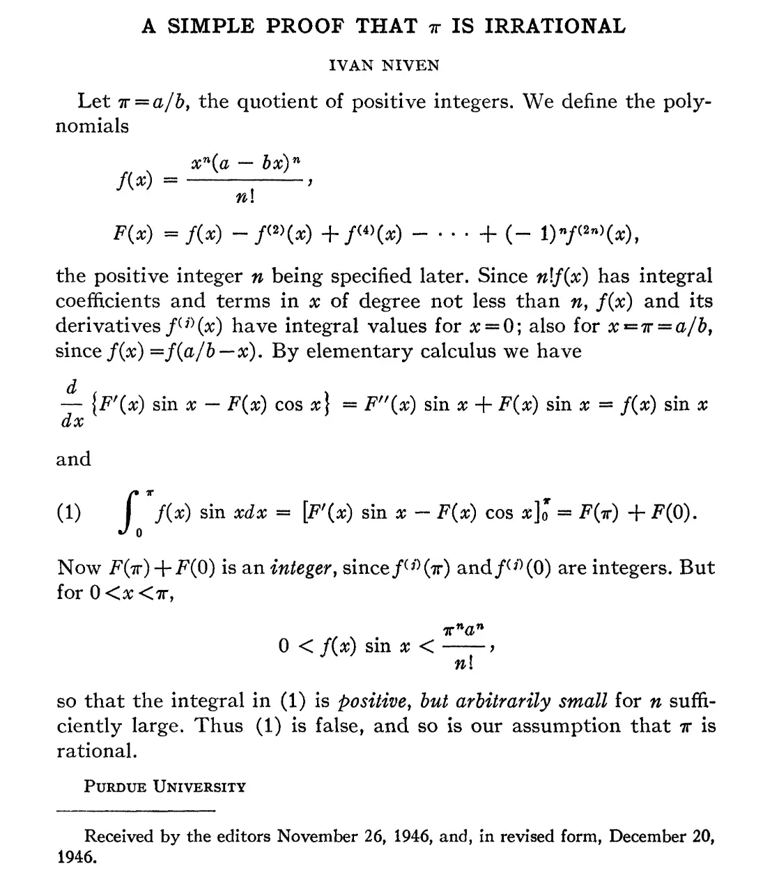
尼云(Niven)于1947年发表了一个简短的证明:
Niven, Ivan (1947), "A simple proof that π is irrational", Bulletin of the American Mathematical Society, vol. 53, no. 6, p. 509
假设: $$ \pi = \frac{a}{b} $$ 是有理数。
构造: $$ f(x) = \frac{x^n(a-bx)^n}{n!} $$ 以及 $$ F(x) = \sum_{k=0}^n (-1)^kf^{(2k)}(x) $$
由于$f(x)$是次数为$2n$的多项式函数,所以: $$ F''(x) = \sum_{k=1}^n (-1)^{k-1}f^{(2k)}(x) $$ 所以: $$ F''(x)+F(x)=f(x) $$
所以: $$ F''(x)\sin x+F(x)\sin x = f(x)\sin x $$ 而: $$ \frac{d}{dx} \left[ F'(x)\sin x-F(x)\cos x \right] = F''(x)\sin x+F(x)\sin x $$
所以: $$ f(x)\sin x = \frac{d}{dx} \left[ F'(x)\sin x-F(x)\cos x \right] $$
积分得到: $$ \int_0^\pi f(x)\sin x \mathrm{d}x =\left[ F'(x)\sin x-F(x)\cos x \right]\mid_0^\pi = F(0)+F(\pi) $$
考虑$f(x)$在$x=0$处的泰勒级数: $$ f(x) = \frac{x^n(a-bx)^n}{n!} = \sum_{k=0}^{2n} \frac{f^{k}(0)}{k!}x^k $$ 所以: $$ x^n(a-bx)^n = \sum_{k=0}^{2n} \frac{n!}{k!}f^{k}(0)x^k $$ 对比$x^k$的系数发现,对于$k\lt n$,左侧的系数都是0,所以: $$ f^{(k)}(0) = 0 \quad 0\le k\lt n $$
对于$k\ge n$,左侧的系数都是整数,所以: $$ \frac{n!}{k!}f^{(k)}(0)\in \mathbb{Z} \quad n\le k\le 2n $$ 综上,$f^{(k)}(0),\quad 0\le k \le 2n$全是整数。
而$f(x)=f(a/b-x)$是关于$\frac{\pi}{2}$对称的,所以$f^{(k)}(\pi),\quad 0\le k \le 2n$,也是全是整数。
那么$F(0)+F(\pi)$是整数。
显然,在$(0,\pi)$上:
$$ 0\lt f(x)=\frac{x^n(a-bx)^n}{n!}\lt \frac{b^n \pi^{2n}}{n!4^n} \lt \frac{b^n \pi^{n}}{n!} = \frac{a^n}{n!} $$
所以: $$ 0 < \int_0^\pi f(x)\sin x \mathrm{d}x \le \int_0^\pi f(x) \mathrm{d}x \lt \frac{a^n}{n!}\pi \to 0 $$ $n$足够大时,有: $$ 0 < \int_0^\pi f(x)\sin x <1 $$ 所以: $$ 0 < F(0)+F(\pi) < 1 $$
这和$F(0)+F(\pi)$是整数矛盾。
创建日期: 2025-03-14 17:35:24
广告
人要恰饭的嘛🤑🤑
