树模型¶
树模型可谓是机器学习领域的“常青树 🌲”,统治力相当于统计里的线性模型。
很多时候我们把树模型(尤其是分类树)和“决策树”这个概念混用。然而后者在决策和运筹领域大概早就存在了:
“香草味”树¶
vanilla decision tree = 最简单的决策树
树模型本质上就是通过一系列的 if-else 规则判断得到一棵二叉树(也可以是多分叉,不过我们只讨论二叉树的情况)。通过这样的规则离散化可以把数据划分为若干组。
- 如果任务是分类,就给每一个组分配一个标签(通常用组内的众数)。
- 如果任务是回归,就给每一个组分配一个数值(通常用组内的均值)。
通常树模型只用来做这两类任务。
如何训练¶
树模型的想法简单易懂,那么我们如何构建出一棵树呢?
ID3 算法¶
一般用于分类树的构建
这是最早的树学习算法,核心思想是在构建二叉树的过程中,每个分枝节点都遵守最大区分原则:也就是可以把不同类别的数据区尽可能区分开。而衡量区分度的指标就是信息增益。具体来说信息增益 IG(S,A)定义为集合 S 选取 A 属性作为分枝节点可以使得分类结果的熵下降多少:
C4.5 算法¶
ID3 算法只能处理离散型属性;并且容易产生过拟合 (Overfitting),因为它倾向于创建深度很大的树;对缺失值处理不佳。它的改进版 C4.5 算法稍微缓解了这些问题,不过也只是小修小补,大差不差。
CART¶
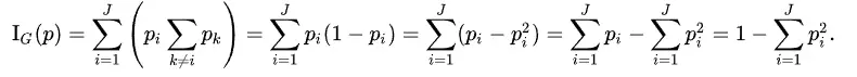
Classification and Regression Tree,可以用于分类和回归问题
含义是各个类在离散均匀分布(或者叫完全随机)的情况下,分类错误的概率的期望,也就是上面的$\sum p_i (1-p_i)$
这里面
$$ \begin{aligned} &\frac{1}{|S|^2}\sum_i \sum_j \frac{1}{2}(y_i-y_j)^2 \\ = &\frac{1}{|S|^2}\sum_i \sum_j \frac{1}{2} (y_i^2+y_j^2-2y_iy_j)\\ =&\frac{1}{|S|^2}\sum_i \frac{1}{2}(|S|y_i^2+\sum_j y_j^2 - 2y_i \sum_j y_j) \\ = &\frac{1}{|S|^2}\frac{1}{2}(|S|\sum_i y_i^2+|S|\sum_j y_j^2 - 2\sum_i y_i \sum_j y_j) \\ = &\frac{1}{|S|}(\sum_i y_i^2-\left[\sum_i y_i^2\right]^2) \end{aligned} $$
其实就是最常见的样本方差
其他算法¶
OC1:在每个节点寻找一个超平面把样本空间一分为二,超平面可以是多个变量的线性组合。可以看成是多变量分枝。
CHAID:不构建二叉树,而是每次构造多个分叉而后使用卡方检验来作为分叉的指标。
树的超参数¶
树模型最主要的超参数就是树的高度(max_depth)。一般情况下越高的树就越不稳定,所以我们会限制这个参数。
此外默认情况下,构建出的树会呈现出比较对称的形态。
当然,我们还可以通过调整min_samples_split 和 min_samples_leaf来减少不必要的分枝,从而构建出非对称的树。
特征重要性排序¶
基于信息增益或者 Geni 不纯度或者方差减少¶
每个节点在分枝的时候已经计算了这些指标,只需要统计每个特征带来的这些指标的总计提高(信息增益增加值、geni 不纯度减少值、方差减少总和等)就行了。
Permutation Importance¶
想法很简单:要衡量一个变量的重要性,最简单的方法就是我把这个变量去掉看模型变差多少。
如果是在训练时做这个事情可能太贵了(例如 m 个特征,每次进行缺一特征的学习,需要 m 次)
所以通常做法是,在全数据集上训练完之后,把某个变量的取值完全打乱,然后把打乱的数据集输入模型计算指标的下降情况。
Shapley Value¶
这个概念来源于 Cooperative Game Theory,2012 年诺贝尔经济学奖
合作博弈论中 Shapley Value 是一种根据玩家对总收益的贡献来分配收益给玩家的方法。玩家们组成联盟(coalition)进行合作,并从这种合作中获得一定的收益。
在树模型里就是若干个变量一起参与了目标的预测,现在需要计算各自的贡献(也就是变量重要性)。
直观上,Shapley Value 就是衡量参与者带来的边际收益,其实和之前的 Permutation Importance 异曲同工:
Shapley Value 是一个理论值,实际应用中需要一些算法进行估计。SHAP就是一个比较常用的方法。
集成学习¶
这里只针对树模型做简短介绍。
Bagging¶
方差缩减
Bagging 的核心想法就是三个臭皮匠顶一个诸葛亮。用 bootstrap(有放回抽样)的方法构造多个样本子集,并且用随机的超参数和特征组合构建多个较弱的模型,用它们输出的平均作为最终的预测。随机森林就是最经典的 Bagging 方法。通过随机性的引入,Bagging 模型可以有效减弱模型的过拟合问题,降低预测方差。
Boosting¶
精度提升
Boosting 方法有 GradientBoost、AdaptiveBoost 以及在此基础上的很多变种。核心思想都是从较弱的模型出发通过不断迭代来提高模型的精度,降低偏差。
Gradient Boost¶
Gradient Boost 方法的核心想法源于梯度下降法,每一步迭代都在现有的模型基础之上“走一步”:
$$ t = F_{t-1} + h_t $$
换言之,我们每次预测的都是先有模型和预测目标之间的残差:
$$ t \approx y-F_{t-1} $$
最终得到的模型是迭代过程中一系列模型的加和:
$$ = \sum_{t=0}^T F_t $$
Adaptive Boost¶
Adaptive Boost 方法的核心是给每个样本赋予权重,在迭代的过程中重点关注那些被分类错误的样本。有了权重之后,求分枝节点的时候就可以使用带权重的指标从而提高模型的性能。
权重更新的伪代码如下:
最终得到的模型是迭代过程中所有模型的加权和:
$$ F = \sum_{m}^M \alpha_m f_m $$
Stacking & Blending¶
这些被称为元集成方法 (Meta-Ensemble Method)
Stacking 的核心想法是学习一个元模型来融合多个基础模型的预测结果,而不是简单的求和、加权:
- 数据集拆分为 train set 和 test set
- 在 train set 上,使用 k-fold 交叉训练 k 个基础模型。f_{1,2,3,...,k},得到每个 fold 的预测值 f_1(fold 1), f_2(fold 2)...作为元特征
- 只用此前在 train set 上得到的元特征来训练元模型
Blending 和 Stacking 几乎一致,只不过做了简化:
- 数据集拆分为 train validation 和 test
- 在 train set 上训练基础模型
- 用基础模型在 validation set 上做预测,得到元特征
- 用元特征训练元模型
注:一般情况下,元模型只输入元特征(基础模型的预测值),而不会输入原始特征
Voting¶
Voting 可以视作更加宽泛的 Bagging 方式。我们可以用多个不同的模型(决策树、SVM、神经网络等)来预测同一个目标,然后使用这些模型的 voting 结果作为最终预测。
创建日期: 2025-06-25 00:52:36
广告
人要恰饭的嘛🤑🤑







